CV
Blog
Data Visualization Gallery
Blog
Categories
All
(6)
causal inference
(1)
community ecology
(2)
food webs
(2)
hierarchical modeling
(2)
Ising model
(1)
landscape ecology
(2)
pattern generation
(1)
spatial autocorrelation
(1)
spatial patterns
(1)
Food Web Generation and Measurement I
Links and Detection
community ecology
food webs
hierarchical modeling
Food webs are often represented as network graphs, where nodes represent species and links represent observed feeding interactions, or potential feeding interactions…
Nov 17, 2025
Food Web Generation and Measurement II
Non-Random Detection
community ecology
food webs
hierarchical modeling
In the previous post, we discussed how the probability of a feeding link between two species depends in part on the probability of detecting the link during the sampling…
Nov 20, 2025
Multilevel Ising
Shane A. Scaggs
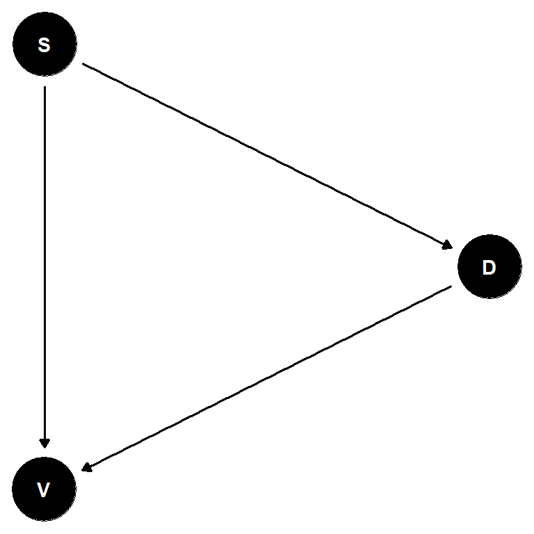
Primary or Secondary?
A Question of Ultimate Common Cause
causal inference
spatial autocorrelation
Let’s suppose we are interested in the relationship between disturbance (D) and vegetation diversity (V). We assert that disturbance has a causal effect on diversity such…
Nov 21, 2025
Spatial Patterns II
The Ising and Potts Models
landscape ecology
pattern generation
Ising model
As I have been learning about spatial patterns, I’ve become more interested in model families and the characteristic geometries that these families generate. For example…
Dec 20, 2025
Spatial Patterns and Random Fields I
landscape ecology
spatial patterns
Landscapes contain myriad spatial patterns. These patterns interest us because of their implications for a variety of ecological processes. Here I treat landscapes as random…
Dec 2, 2025
No matching items